The Dataset collected had 11 columns which includes the following
Using the above columns correlation between different sets of columns has been found. Out of all the columns the one which mattered the most was, label indiacting if the person was depressed or not.
The models which were used are:


Naïve Bayes is a probabilistic machine learning algorithm used for many classification functions and is based on the Bayes theorem. Gaussian Naïve Bayes is the extension of naïve Bayes. While other functions are used to estimate data distribution, Gaussian or normal distribution is the simplest to implement as you will need to calculate the mean and standard deviation for the training data.


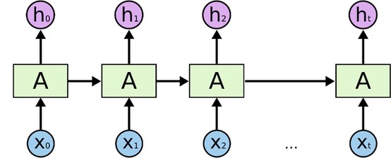
Recurrent Neural Network (RNN) is a Deep learning algorithm and it is a type of Artificial Neural Network architecture that is specialized for processing sequential data. RNNs are mostly used in the field of Natural Language Processing (NLP).